A press release (here or here) has been issued by Christopher Monckton, Willie Soon, David Legates, and William Briggs who authored a paper, which they could place in Science Bulletin (the former Chinese Science Bulletin) of the Chinese Academy of Science. IMHO, the paper is a mixture of a correct physical concept (the approach of using a simple energy balance model for conceptual understanding of the response of the climate system to external forcing) and misrepresentation of previous scientific publications, flawed methodology, scientifically unfounded assumptions, and plain errors. Those have been partially discussed at ATTP already.
There is a number of hyperbolic statements in the press release, regarding the originality of the content of the paper (bold face after headline by me, except bold face of “Lord Monckton”):
“NEW PAPER: Why Models Run Hot: Results From An Irreducible Simple Climate Model
[…]
The IPCC has long predicted that doubling the CO2 in the air might eventually warm the Earth by 3.3 C. However, the new, simple model presented in the Science Bulletin predicts no more than 1 C warming instead—and possibly much less. The model, developed over eight years, is so easy to use that a high-school math teacher or undergrad student can get credible results in minutes running it on a pocket scientific calculator.
[…]
The new, simple climate model helps to expose the errors in the complex models the IPCC and governments rely upon.
[…]
Lord Monckton, the paper’s lead author, created the new model on the basis of earlier reviewed research by him published in Physics and Society, in the UK Quarterly Economic Bulletin, in the Annual Proceedings of the World Federation of Scientists’ Seminars on Planetary Emergencies, and in Energy & Environment.”
So, according to the press release, Monckton had created a very new climate model by himself, which was presented in the paper by the authors, and the results from calculations with this climate model were in contradiction to results from simulations with several dozens of complex Earth system models, done by climate research groups all over the world. Now, the calculations Monckton et al. have done are certainly in contradiction to the results presented in the latest Report of the Working Group I of the Intergovernmental Panel on Climate Change (IPCC) on The Physical Science Basis. Because of the false assumptions that were made by Monckton et al, which they tried to justify with two non-sequitur statements, one of which was a very false interpretation of data from paleo climate change and the other one was just absurd (or metaphysical, if there is some religious belief behind the assumption).
As for the assertion to have developed a "new model". This pompous claim is an untrue statement by Monckton et al. What do they do in the paper? They apply a Zero-dimensional energy balance model of the climate system that links an external radiative forcing with the temperature response to the radiative forcing. This is the allegedly new model:
There is a number of hyperbolic statements in the press release, regarding the originality of the content of the paper (bold face after headline by me, except bold face of “Lord Monckton”):
“NEW PAPER: Why Models Run Hot: Results From An Irreducible Simple Climate Model
[…]
The IPCC has long predicted that doubling the CO2 in the air might eventually warm the Earth by 3.3 C. However, the new, simple model presented in the Science Bulletin predicts no more than 1 C warming instead—and possibly much less. The model, developed over eight years, is so easy to use that a high-school math teacher or undergrad student can get credible results in minutes running it on a pocket scientific calculator.
[…]
The new, simple climate model helps to expose the errors in the complex models the IPCC and governments rely upon.
[…]
Lord Monckton, the paper’s lead author, created the new model on the basis of earlier reviewed research by him published in Physics and Society, in the UK Quarterly Economic Bulletin, in the Annual Proceedings of the World Federation of Scientists’ Seminars on Planetary Emergencies, and in Energy & Environment.”
So, according to the press release, Monckton had created a very new climate model by himself, which was presented in the paper by the authors, and the results from calculations with this climate model were in contradiction to results from simulations with several dozens of complex Earth system models, done by climate research groups all over the world. Now, the calculations Monckton et al. have done are certainly in contradiction to the results presented in the latest Report of the Working Group I of the Intergovernmental Panel on Climate Change (IPCC) on The Physical Science Basis. Because of the false assumptions that were made by Monckton et al, which they tried to justify with two non-sequitur statements, one of which was a very false interpretation of data from paleo climate change and the other one was just absurd (or metaphysical, if there is some religious belief behind the assumption).
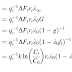
As for the assertion to have developed a "new model". This pompous claim is an untrue statement by Monckton et al. What do they do in the paper? They apply a Zero-dimensional energy balance model of the climate system that links an external radiative forcing with the temperature response to the radiative forcing. This is the allegedly new model:
This type of climate model, a Zero-dimensional energy balance model, has been used for decades for conceptual studies of the climate system. The original idea is generally attributed to the work by M. I. Budyko (1969), "The effect of solar radiation variations on the climate of the Earth", Tellus, 21, doi:10.1111/j.2153-3490.1969.tb00466.x, http://onlinelibrary.wiley.com/doi/10.1111/j.2153-3490.1969.tb00466.x/abstract. Feedback analysis based on a form of the equation as seen in the last line can be traced back to Hansen, Lacis, Rind, Russell, Stone, Fung, Ruedy, Lerner (1984), "Climate sensitivity: Analysis of feedback mechanism", Geographical Monographs 29, http://pubs.giss.nasa.gov/docs/1984/1984_Hansen_etal_1.pdf. Or in a more recent review paper by G. Roe (2009), "Feedbacks, Timescales, and Seeing Red", Ann. Rev. Earth Plan. Sci, 37, 93-115, doi:10.1146/annurev.earth.061008.134734, http://earthweb.ess.washington.edu/roe/Publications/Roe_FeedbacksRev_08.pdf, such a model was described in nearly identical form:
None of the existing literature where this type of models is discussed is referenced in the Introduction of the Monckton et al. paper. The Introduction is usually the part of a scientific paper where previous scientific research that builds the general context of the new study is referenced, and where the objectives of the new study with respect to this context are formulated. Nor are any of the previous studies referenced in Section 3 where Monckton et al. introduce their allegedly new model. However, all three of the studies mentioned above are referenced further down in a different context, e.g., to compare values of climate sensitivity (the lambda in the equations). Just not where the model is introduced. So it is not made clear by Monckton et al. that the model used by them is based on ideas, which already had been published by other researchers. However, the citing of these papers further down is proof that Monckton et al. knew the other studies, where this type of the model had been described already. Thus, they won't be able to excuse themselves by claiming to not have known these studies and to have newly invented the wheel independently and in good faith.
In summary, Monckton et al. present something, even more emphasized in their hyperbolic press release, as their own idea, although very similar content had already been published by other researchers before. They neglect to give proper credit to these other researchers where it would have been due. There is a name for such a praxis, not just in science, when someone takes credit in a publication for someone else's idea, which already had been published before somewhere else.
Update, 01/20/2015: Mr. Monckton has personally appeared here to directly respond to my posting. I hadn't expected it, so I am positively surprised. He is welcome to defend his views here. I ask everyone to try to refrain from personal attacks, such as insults against each other or ad hominem arguments that are irrelevant for a discussed matter, regardless how big the disagreement is. Take a deep breath before posting something, you wouldn't have posted with a cool head, if emotions become too strong. Currently, my policy is to not moderate this blog. I can change this at my discretion at any time.
Update, 01/23/2015: More criticism of the Monckton et al. paper here at www.carbonbrief.org, including some additional comments by me on severe flaws in the paper.
Announcement 01/27/2015: The 3rd Viscount Monckton of Brenchley has posted a response at CFACT's "Climate Depot" to opinions stated by a number of "soi-disant climate 'scientists'" on the Monckton et al. paper. His Lordship continuous to be "exemplary with his courteous replies to the scientific points that have been addressed to him" (James Rowlatt, Clerk of Mr. Monckton), as he already has demonstrated at Thought Fragments, one of the blogs of these "creatures" who have been "savagely, but anti-scientifically attacking". Consequently, Mr. Monckton demands the "dismissal" of the "named and shamed" culprits for their illicit statements. Further down he makes clear that "the climate fraud will not cease till someone is prosecuted". His Lordship's divine revelations were "definitively established" as irrefutable truth, by being published as a "peer-reviewed paper" in Science Bulletin in the People's Republic of China, one of the remaining places in the world where the true meaning of freedom of speech and freedom of science as the freedom of the leaders and lords to speak without being contradicted and criticized is still being honored, and science-serfs are not allowed to hide within "the ivy-covered walls of acadame". Science Bulletin is extremely prestigious with an impact factor of 1.365, which makes it "the Orient's equivalent of Nature" whose impact factor is only 30 times higher. "Perpetrators" of the "biggest fraud in history" who have "misbehaved" by trashing His Lordship's revelations, or, generally, by publishing results from so-called scientific research that undermine His Lordship's just struggle against the dark forces behind the "UN's gruesome plan" to "establish an unelected, unaccountable, all-powerful global climate tyranny", must be "severely dealt with". Everyone hail the Viscount!
Update, 01/20/2015: Mr. Monckton has personally appeared here to directly respond to my posting. I hadn't expected it, so I am positively surprised. He is welcome to defend his views here. I ask everyone to try to refrain from personal attacks, such as insults against each other or ad hominem arguments that are irrelevant for a discussed matter, regardless how big the disagreement is. Take a deep breath before posting something, you wouldn't have posted with a cool head, if emotions become too strong. Currently, my policy is to not moderate this blog. I can change this at my discretion at any time.
Update, 01/23/2015: More criticism of the Monckton et al. paper here at www.carbonbrief.org, including some additional comments by me on severe flaws in the paper.
Announcement 01/27/2015: The 3rd Viscount Monckton of Brenchley has posted a response at CFACT's "Climate Depot" to opinions stated by a number of "soi-disant climate 'scientists'" on the Monckton et al. paper. His Lordship continuous to be "exemplary with his courteous replies to the scientific points that have been addressed to him" (James Rowlatt, Clerk of Mr. Monckton), as he already has demonstrated at Thought Fragments, one of the blogs of these "creatures" who have been "savagely, but anti-scientifically attacking". Consequently, Mr. Monckton demands the "dismissal" of the "named and shamed" culprits for their illicit statements. Further down he makes clear that "the climate fraud will not cease till someone is prosecuted". His Lordship's divine revelations were "definitively established" as irrefutable truth, by being published as a "peer-reviewed paper" in Science Bulletin in the People's Republic of China, one of the remaining places in the world where the true meaning of freedom of speech and freedom of science as the freedom of the leaders and lords to speak without being contradicted and criticized is still being honored, and science-serfs are not allowed to hide within "the ivy-covered walls of acadame". Science Bulletin is extremely prestigious with an impact factor of 1.365, which makes it "the Orient's equivalent of Nature" whose impact factor is only 30 times higher. "Perpetrators" of the "biggest fraud in history" who have "misbehaved" by trashing His Lordship's revelations, or, generally, by publishing results from so-called scientific research that undermine His Lordship's just struggle against the dark forces behind the "UN's gruesome plan" to "establish an unelected, unaccountable, all-powerful global climate tyranny", must be "severely dealt with". Everyone hail the Viscount!


Yes, good post. I'm just waiting for the outcry from those who are fixated on scientific conduct and regard that as the final arbiter of good science. I can just imagine the howls of outrage....oh, hold on.....
ReplyDeleteIn summary, Monckton of Brenchley et al. present a paper in which every element sourced from the pre-existing literature is explicitly acknowledged and close to 60 references are, therefore, cited. It is self-evident that our model is distinct in several respects from that of Budyko. And, as far as we have been able to discover, no model identical to ours exists anywhere. Indeed, some of the equations we derived and presented in the paper have never appeared anywhere before, as far as we can discover.
ReplyDeleteOne of the chief values of our paper is its discussion of the appropriate values or intervals for the key parameters. Another value is in its condensing the process for determining climate sensitivity into the shortest possible compass capable of giving tolerably robust results.
To make a snide suggestion that we had done what had already been done before, but without acknowledgement, is accordingly inappropriate. But it would perhaps be best if anyone who wished to verify the position rather than relying on a tendentious blog were to download the paper for himself from scibull.com. Just click on the Current Issue link and then find our paper: Why models run hot: results from an irreducibly simple climate model.
Further to my earlier posting about the citation of references, Mr Perlwitz refers to Hansen (1984) and Roe (2009) with the clear and wilful implication that we had not cited either of these papers. However, in our paper both of these papers are both cited and discussed. My clerk has written to Mr Perlwitz in some detail about the feedback issue, and has referred him to the relevant passages in these two papers.
ReplyDeleteIn the circumstances, the clear implication in the head posting that we did not give credit where credit was due, and particularly that we did not give credit to Hansen or to Roe, is inaccurate and without foundation.
"Lord" Christopher Monckton is known to suffer from Graves' disease, which can cause dementia in some patients.
ReplyDeleteExamples are below...
And, as far as we have been able to discover, no model identical to ours
ReplyDeleteexists anywhere. Indeed, some of the equations we derived and presented
in the paper have never appeared anywhere before, as far as we can
discover.
You do realise that if you change the letters in the equations, it doesn't become a new model?
A reading of the post reveals your comment as nonsense.
ReplyDeleteDr. Perlwitz is quite specific that you have cited the papers, and is equally clear that you should have cited them in the Introduction. Thus you did not give credit exactly where credit was due. Dr. Perlwitz makes this unambiguously clear in his last two paragraphs.
Don't be childish. If you have a scientific point to make, make it.
ReplyDeleteOooh, touched a nerve did I?
ReplyDeleteOkay, here's the point.
The standard equation is
$latex \Delta T = \lambda \Delta F$.
What you've done is incorporate a term $latex q_t$ that represents the CO2 fraction and a term $latex r_t$ that converts this from the equilibrium to the transient response. It's not a new model. You've then introduced terms to represent feedbacks. It's completely standard but just slightly modified. It's not sufficient to call this a new model and to suggest that you developed this over the last 8 years is embarrassing for many different reasons.
What's worse, though, is how you justified your claim that the feedbacks are small. That's completely nonsensical. Not only has this got nothing to do with process engineering, but arguing that they must be small because the variability over the last 800000 years has been small, completely misses the point. This variability is driven by small changes in external forcings and illustrates that the feedback response is not small (i.e., it's clearly not as small as 0.1, as your paper claims).
"The IPCC has long predicted that doubling the CO2 in the air might eventually warm the Earth by 3.3 C. However, the new, simple model presented in the Science Bulletin predicts no more than 1 C warming instead—and possibly much less"?
ReplyDeleteUnder unchanged ground pressure, Greenhouse gases Cool.
Extra radiation to space, above the clouds, lowers clouds. Lower clouds, lower surface temperature.
(below the clouds, effect is saturated)
Christopher Walter Monckton, 3rd Viscount Monckton of Brenchley, is a very crafty MI7 agent.
ReplyDeleteHe states luke-warming, in support of the Rothschild, Gore and Blood Carbon Tax Extortion Racket.
At last, a scientific point rather than a futile discussion of the optimum geographical location of references in our paper, which contains many equations in addition to that which "There's physics" mentions.
ReplyDeleteOf course the climate has nothing to do with process engineering, which is precisely why an equation from process engineering is inapplicable to the climate. Yet it is that equation that is the sole reason for the doubling or tripling of direct warming in response to temperature feedbacks.
Naturally, I have consulted experts in feedback mechanisms, one of whom I had the pleasure of debating against in Ireland some years ago. During that debate he was visibly shaken by the graph showing the singularity in the Bode relation, which plainly cannot apply to the climate.
He has been working on the problem ever since, and is hoping to publish a paper shortly which - precisely because he now agrees that temperature feedbacks must be appreciably net-negative - comes to the view that climate sensitivity is less than 1 K per CO2 doubling.
I have no idea whether "There's Physics" is as well qualified as the learned doctor, but I doubt it. And one thing is clear. The doctor clearly had the intention to discover the truth, whether or not it supported his previous position. It is less clear that "There's Physics" is similarly open-minded.
He has been working on the problem ever since, and is hoping to publish a
ReplyDeletepaper shortly which - precisely because he now agrees that temperature
feedbacks must be appreciably net-negative - comes to the view that
climate sensitivity is less than 1 K per CO2 doubling.
Well, then he's almost certainly wrong as this is inconsistent with almost all the evidence available. Any reason why you won't mention who it is you were debating?
I have no idea whether "There's Physics" is as well qualified as the
learned doctor, but I doubt it.
Of course you doubt it. I'd be surprised if you didn't.
And one thing is clear. The doctor clearly had the intention to discover the truth, whether or not it supported his previous position. It is less clear that "There's Physics"
is similarly open-minded.
I have no issue with discovering truths that don't support my previous position. I would quite like you to present some, rather than appealing to some unnamed doctor who has supposedly discovered an uncomfortable truth that he has yet to publish.
Maybe you could directly address the point I made above. The variability over the last 800000 years is driven by small changes in external forcing and is inconsistent with the feedback fraction being as small as 0.1. Care to explain how you used it to justify your claim that feedbacks have to be small.
"Another value is in its condensing the process for determining climate sensitivity
ReplyDeleteinto the shortest possible compass capable of giving tolerably robust results."
You are going to have take into consideration that, there is little room to wiggle,
regarding Global Average Surface Temperature.
(1) Good correlation with Sunspots https://disqus.com/by/danpangburn/
(2) Nikolov and Zeller http://wattsupwiththat.com/2011/12/29/unified-theory-of-climate/
(3) Ferenc Miskolczi "Ferenc Miskolczi: The Greenhouse Effect and the Infrared Radiative Structure of the Earth’s Atmosphere
(4) "Greenhouse gases cool planets: Volcanos warm them | Tallbloke"
(5) "Greenhouse Gases in the Atmosphere Cool the Earth!" Robert Ashworth, Nasif Nahle
(6) "Earth's clouds are getting lower - Climate Change - NASA"
From general arguments -- atmosphere self adjusts, to maximizes Cooling.
Distributions of concentrations determine effects.
"What's worse, though, is how you justified your claim that the feedbacks are small."
ReplyDeleteFeedback is incorrectly used -- multiply is correct.
"Water Vapor Feedback - Is it positive or negative"
https://www.youtube.com/watch?v=Y2K1uHvfaek
I know it's not the only viewpoint. One of them, however, is wrong. I note that you don't even attempt to explain your reasoning.
ReplyDeleteDon't be childish. And my reasoning will be explained in a forthcoming reviewed paper in a learned journal.
ReplyDeleteDon't be childish.
ReplyDeleteSomeone did some experiments in their back garden and
ReplyDeletethat's your evidence that water vapour feedback is small."
Use feedback correctly, not the climate scary version.
All positive feedbacks self destruct. (look up pole Zero in transfer functions)
Zero gain around the loop results in oscillation
http://upload.wikimedia.org/wikipedia/commons/thumb/4/4f/Second_order_transfer_function.svg/1280px-Second_order_transfer_function.svg.png
Use feedback correctly, not the climate scary version.
ReplyDeleteAll positive feedbacks self destruct.
We're talking about climate feedbacks, that's kind of the point. No, they don't self destruct. We cannot explain the greenhouse effect without feedbacks being positive. We can't explain past climate variability without feedbacks being positive. We can't explain the warming over the last century without feedbacks being positive.
(look up pole Zero in transfer functions)
Zero gain around the loop results in oscillation
So what? That has absolutely nothing to do with our climate. You should learn what the term "feedback" means when applied to our climate.
"We're talking about climate feedbacks"
ReplyDeleteThey are not feedbacks -- they merely amplify.
Increased Solar radiation, magnifies evaporation, which magnifies ground pressure.
Global average surface pressure is accurately predicted by radiation and ground pressure.
Extra Solar Radiation, magnifies both ground pressure and temperature.
Positive feedback, in an audio amplifier, results in destruction, perhaps blown speakers.
Positive feedback, in an adaptive optics telescope, destroys the telescope.
From general arguments -- atmosphere self adjusts, to maximizes Cooling.
ReplyDeleteNo....it....doesn't.
1. Correlation with sunspots.....correlation/causation error.
2. Can't be bothered even looking.
3. Miskolczi's arguments are wrong. Read Pekka Pirila's comments on Judith Curry's blog.
4. "Greenhouse gases cool planets: Volcanos warm them | Tallbloke" HA HA HA HA HA...my sides.
5. "Greenhouse Gases in the Atmosphere Cool the Earth!" Robert Ashworth, Nasif Nahle - As above.
6. "Earth's clouds are getting lower - Climate Change - NASA" - so what?
They are not feedbacks -- they merely amplify.
ReplyDeleteYes, but they "feedback", hence the term. It's not a single step amplification.
Increased Solar radiation, magnifies evaporation, which magnifies ground pressure.
Global average surface pressure is accurately predicted by radiation and ground pressure.
Extra Solar Radiation, magnifies both ground pressure and temperature.
Oh God, not the "it's pressure" argument. This is getting silly.
"“Truly, I say to you, unless you turn and become like children,
ReplyDeleteyou will never enter the kingdom of heaven"
Childlike yes, childish no.
ReplyDeleteDon't be childish. Wait for the paper and read it before sneering. That's what grown-up scientists do.
ReplyDeleteI am a grown up scientist, so clearly you're wrong.
ReplyDeleteScience is not childish exploration?
ReplyDeleteThen behave like a grown-up scientist. Don't opine till you've seen the evidence.
ReplyDeleteScience is childlike curiosity and adult rationality.
ReplyDeleteAdults are compromised by belief systems.
ReplyDeleteMind is in the Crucible of survival -- apply to climate science.
Science is a belief system
Science, not CO2, Sun or atmospheric pressure changes climate.
"“If you accept the science,” Kerry continued.
“If you accept that the science is causing climate to change"
Totalitarian science made it appear that the climate would change far more than it has. The growing discrepancy between prediction and observation shows that the adoption of a climate-Communist or thermo-Fascist official line on climate science was a grave and expensive mistake.
ReplyDeletethe adoption of a climate-Communist or thermo-Fascist official line on climate science
ReplyDeleteClassic, and you call me childish. I couldn't even make these kind of things up. It would be wonderful if it weren't for the fact that you appear to be completely serious.
Motivation is profit from fraud. "Abel Danger 9-11-2014 $92 Trillion Dollar
ReplyDeleteCarbon Disclosure Project Gambling on Contrived Disaster"
The science is closing in on the totalitarians. They won't be able to maintain for very much longer that we can expect a lot of manmade global warming.
ReplyDeleteLike it or not, it is Left-wing governments (Obama in the US, Gillard in Australia etc. etc.) that have been most active in promoting the totalitarian Party Line on climate, and in insisting that only one viewpoint - theirs - is correct. They are being proven wrong. The rate of global warming is half the central rate predicted by the IPCC in 1990 and, in the past decade or two, there has been no global warming at all, notwithstanding record increases in CO2 concentration. The experiment has been run, and the results do not accord with the Party Line. But the Party Line cannot be changed. So climate Communism or thermo-Fascism continues, and is increasingly laughed at by ordinary folk and by true scientists alike.
ReplyDeleteTowards global tyranny, science lost, is just a pawn sacrifice distraction.
ReplyDeleteEvil Malthusian Psychopath Oligarchs, will have a laugh, as the Ice Age destroys population.
Are you saying it's childish to point out Christopher Monckton claims to be a lord when he's not, childish to point out he suffers from Graves' disease or childish to point out he shows signs of having dementia?
ReplyDeleteSince when is pointing out things that are demonstrably true childish?
...I'd suggest ignoring things that are demonstrably true is actually what is childish.
"The year 2014 now ranks as the warmest on record since 1880, according to an analysis by NASA scientists."
www.nasa.gov/press/2015/january/nasa-determines-2014-warmest-year-in-modern-record
Don't be childish. NASA has had to row back on its press release about the supposed "warmest year", admitting that there is only a 38% chance of that. And what is quite clear is that, even if that 38% chance is true, the rate of global warming is half of what the IPCC had predicted in 1990, and a third of what James Hansen predicted in 1988.
ReplyDelete"NASA has had to row back on its press release about the supposed "warmest year" "
ReplyDeleteReally?
...so link to them doing so.
If you were telling the truth, isn't this something you should be able to do?
"It is self-evident that our model is distinct in several respects from that of Budyko." And, as far as we have been able to discover, no model identical to
ReplyDeleteours exists anywhere. Indeed, some of the equations we derived and
presented in the paper have never appeared anywhere before, as far as we
can discover."
I referenced Budyko (1969) to make clear that Zero-dimensional energy balance models have been applied for decades. I could give you a whole list of papers where this type of models has been used. As has the feedback analysis, using the Bode system-gain equation, which is also applied by you. Using the Bode system-gain equation can be traced back to Hansen et al. (1984). However, you don't give credit to Hansen et al. for it in your paper. And explain please, how does the Zero-dimensional energy balance model, which is presented in Equation (1) of your paper, substantially differ from the Zero-dimensional energy balance model, which was presented in the review paper by Roe (2009)? All I see is that you have rewritten well known equations a little bit. That doesn't make it a brand new model. You neglect to give credit to Roe (2009) (or other papers with similar approaches), when you describe the model in your paper, even though he had presented something very similar.
If you hadn't issued a press release with those hyperbolic claims about having developed a new climate model over whole eight years, if you, instead, had stated in the press release that you applied a conceptual model that has been well-known and used in climate science for decades, but you have come to different conclusions with your calculations than mainstream climate science, I wouldn't have written my posting. I still would not agree with your conclusions from your calculations with the simple model, though, since they are based on scientifically unfounded assumptions. Thus, I probably still would have written something. And I may write some more things about your paper.
"Of course the climate has nothing to do with process engineering, which is precisely why an equation from process engineering is inapplicable to the climate."
ReplyDeleteSo, you claim here now that the equation you applied in your paper to draw conclusions about climate is inapplicable for the climate. If this was true, it would follow from this that all your conclusions you have drawn about the climate from applying this equation in your paper with the assumptions you used, like the conclusion that climate sensitivity to CO2-doubling was only about 1.0 K and global warming over this century less than 1 K, are invalid. They don't follow from your assumptions and methodology, because you applied an invalid model. According to your own statement here now.
Is this really what you want to say? Because I am going to cite you on that you think the equation you used to draw conclusions about climate was not applicable for understanding the real climate.
"Yet it is that equation that is the sole reason for the doubling or tripling of direct warming in response to temperature feedbacks."
No, because Nature doesn't apply this equation. If the equation you applied is not applicable as mathematical abstraction for what happens in Nature, then nothing will follow from it about the sign or strength of the feedbacks in the real climate system.
Don't be petty. We used the feedback system-gain equation from IPCC (2007) and duly acknowledged IPCC. The origin of the equation is of course R.W. Bode's magisterial tome on amplification in electronic circuits in 1945, and he too is credited in our paper, at the point where the singularity in the equation is discussed. Brevitatis causa, we did not trace the history of the equation between Bode and IPCC.
ReplyDeleteA forthcoming paper, accepted after review but not yet allocated to an issue of the journal where it will be printed, will go into greater detail about the manner in which a manifestly inappropriate equation found its way into the general-circulation models - inappropriate, that is, if one assumes, as IPCC does, that the feedback sum is strongly net-positive. Hansen's role will certainly be discussed there.
And where can I read other scientifically backed up viewpoints, according to which the annually and globally averaged forcing (i.e., the radiative net perturbation for the planet as a whole) over the past 810,000 years was not small? How large was it?
ReplyDeleteHere is one according to which it was smaller than 0.5 W/m^2:
Hansen, J., M. Sato, P. Kharecha, D. Beerling, R. Berner, V. Masson-Delmotte, M. Pagani, M. Raymo, D.L. Royer, and J.C. Zachos, 2008: Target atmospheric CO2: Where should humanity aim? Open Atmos. Sci. J., 2, 217-231, http://dx.doi.org/10.2174/1874282300802010217
"Don't be petty. We used the feedback system-gain equation from IPCC (2007) and duly acknowledged IPCC."
ReplyDeleteEvery time you claim that you properly cited the sources for the model that you applied in your paper, it means that you just confirm what I said. That you didn't really present a new model, differently to what your hyperbolic claims were in your press release. And I still don't see what is substantially new about the model in your paper.
"A forthcoming paper, accepted after review but not yet allocated to an issue of the journal where it will be printed, will go into greater
detail about the manner in which a manifestly inappropriate equation
found its way into the general-circulation models - inappropriate, that
is, if one assumes, as IPCC does, that the feedback sum is strongly
net-positive. Hansen's role will certainly be discussed there."
What equation do you mean? The Bode system-gain equation? The complex climate models don't use this equations. Where did you get the idea that they did? I asked William Briggs about it, he forwarded this question to you. I asked where this equation is allegedly being applied in the climate models and on what scientific references you base your assertion. Don't say the IPCC report(s). These reports don't say anything like that. Your letter to me didn't contain the answer to my question.
I'm afraid you have a severe misperception about how complex climate models are actually constructed and how they work. There is no Bode system-gain equation in there. And neither the sign or the strength of the feedbacks in those models are prescribed based on any assumption that they had to be positive or strong. The sign or the strength are not prescribed at all. The feedbacks in the models as well as the resulting climate sensitivity of the models are inherent features, which arise from the interaction of all the subprocesses in the models, which are coupled through energy and mass fluxes based on known physics (and chemistry).
Also, the IPCC doesn't make its own assumptions about the sign or strength of the feedbacks in the climate sysstem or the magnitude of the climate sensitivity. The statements in the IPCC reports about it are based on the results from research, published in the peer-reviewed literature. The IPCC reports compiles these results and synthesizes them. They don't make up their own.
Is this how you want to debate scientists on their published research? By telling them that their results were wrong, because they were serving a "climate-Communist or thermo-Fascist" conspiracy?
ReplyDeleteDon't be duplicitous. At one moment you say we did not acknowledge our sources, at another you complain because we did. One concludes that you are desperate to find something to complain about.
ReplyDeleteYou cite Hansen with approval and then say the Bode system-gain equation, which is specifically mentioned in IPCC (2007) and is derivable from the equations in Hansen (1984), is not used in the models. Why, then, did these and other authorities mention it? And have you looked at the code for Giss ModelE, or at, say, Murphy et al. (2009), whose extreme climate-sensitivity predictions depend upon the mutual amplification of strongly net-positive feedbacks using the Bode equation? More reading and less sneering required, one feels.
"Don't be petty. We used the feedback system-gain equation
ReplyDeletefrom IPCC (2007) and duly acknowledged IPCC."
Why use anything from the IPCC -- Globalist deceivers,
they have been discredited by Mother Gaia.
Perhaps, math from geophysics, seismic imaging math,
to determine system characteristics?
If the results indicate that Greenhouse gases Warm,
without raising ground pressure -- the method is wrong.
I'm glad you responded, because I had got to the stage where I could no longer see the point.
ReplyDeleteLet us stick to the science. My passport says I'm a Lord - or, specifically, a Viscount.
ReplyDeleteDo your own homework.
ReplyDeleteWhile one agrees with zlop that relying on the politicized and self-serving IPCC is imprudent, if one wishes to examine the premises on which the climate scare is founded it is necessary to cite the IPCC, which was my original source for the Bode system-gain relation.
ReplyDeleteIt is of course noticeable (see e.g. Hathaway, 2004) that the recovery of temperatures in the 300 years following the Little Ice Age tracks quite well with the recovery in sunspot activity, culminating in what may have been close to a solar Grand Maximum between 1925 and 1995 (though some revisionist papers have recently suggested solar activity was then less than Hathaway and most others had previously reported).
ReplyDeleteI am also intrigued by Dr Miskolczi's work, though it is sufficiently beyond my pay-grade that I cannot form a view on whether he is right, and his research has been little discussed i the learned journals outside Hungary, where he first published it.
As for the notion that greenhouse gases cause cooling, that is at variance with my current understanding of the scientific position, from the quantum level up. In any event, it is most unlikely - in the absence of an entirely new theory of climate, which I lack the competence to invent - that anyone would take seriously a suggestion that there is no greenhouse effect, still less that it causes cooling rather than warming. That is why our paper adhered as best it could to what the proprietor of this blog has called "mainstream science". I am not a fan of science by headcount, for the argumentum ad populum is no less fallacious today as it was when Aristotle proposed it as one of the dozen commonest fallacies in human discourse. The end and object of science, as of religion, is the truth. Religion asserts that its truths are revealed. Science, by contrast, asserts that its truths are hard-won by observation and measurement, and by the application of pre-existing theory to the results either to test that theory or to advance a new theory. On that definition, there is no place for the concept of "mainstream" science, which is an explicitly totalitarian notion (one thinks of two prominent hard-Left movements: Fascism, with its cruel and murderous eugenics theory, and Communism, with its near-equally cruel and murderous Lysenkoist theory).
As to the influence of clouds, on which I wrote a reviewed paper published in the Annual Proceedings of the World Federation of Scientists' seminars on planetary emergencies three or four years ago, there does appear to have been a greater forcing from a probably natural reduction in global cloud cover from 1983-2001 (possibly associated with the positive phase of the PDO) than from anthropogenic activity: 2.9 vs. 2.3 Watts per square meter over the period (Pinker et al., 2005). However, the revisionists have recently challenged Dr Pinker's results too.
In one triumphant respect, zlop is unquestionably right. The temperature record of the past 810,000 years (Jouzel et al., 2007) shows absolute global mean surface temperature varying by little more than 3.5 K either side of the long-run mean - or just 1% up or down. Now, the proprietor of this blog argues that James Hansen says this movement of 7 K between the coldest Ice Age and the warmest interglacial (and all four of the present warm period's predecessors were warmer than the present interglacial) occurred in response to just 0.5 Watts per square meter of direct forcing. Frankly, this seems implausible. For we are told that CO2, which Hansen has called the tuning-knob of the climate, varies from a concentration of 180 ppmv during ice ages to 280 ppmv during interglacials - and that, on its own, entails forcing of 2.4 Watts per square meter, not 0.5.
And then there are the Milankovich cycles, supervolcanoes, meteorites, continental drifts, variations in solar output, variations in cloud cover (accounting for a forcing of 2.9 W/m2 just from 1983-2001, for example) - and yet Hansen thinks the forcing of the past million years varied by only 0.5 W/m2 till we came along. I beg leave to doubt it.
Mr Perlwitz says I should not both use the Bode relation and question it. However, in science that is what we do if we have our doubts but are unable for the present to substitute a correct equation for an equation which - especially with respect to the strongly-net-positive feedbacks that put the closed-loop gain close to the singularity - is manifestly inapplicable to the climate.
ReplyDeleteOur doubts about the Bode equation are fairly touched on in our paper, but we have used it nonetheless for two reasons. First, the high-sensitivity claims of the models relied upon by IPCC depend upon Bode feedback amplification, as IPCC itself explains in the reference given at the appropriate point in our paper. Secondly, the Bode equation introduces little or no error where feedbacks are, as we have reason to suspect they are, appreciably net-negative. It is well established in the literature that net-negative feedbacks imply a stable temperature regime - and a stable temperature regime is what is evident over the past 810,000 years, according to the ice cores.
And, strictly speaking, "Nature" does not apply any equation. However, the climate object, like any object expressible in mathematical terms, is a dynamical system that appears to operate according to principles or rules that are also mathematically expressible. We do not think the Bode relation is the right principle for the determination of system gain in the climate object. There are many reasons for our doubts, and those reasons are increasingly being taken seriously in the climate-science community, though I am not the sort to say that our doubts are yet widely accepted in the realm of "settled" or "mainstream" science.
That will take time, and further papers, and further scientific debate.
The Planck parameter is not really best understood as a temperature feedback. It should more properly be expressed as a sensitivity parameter (i.e., 0.31 Kelvin per Watt per square meter of forcing) rather than reciprocally as a feedback (i.e. 3.2 Watts per square meter per Kelvin). There is an interesting discussion of this point in Roe (2009), and I have also discussed this question by email with Gerard Roe.
ReplyDeleteSo I should certainly not try to aggregate the Planck "feedback" with the real feedbacks and then claim for that reason that the feedback sum operating on the climate object is net-negative.
Nor is our reason for the choice of a net-negative closed-loop gain g based on a short time-interval. On the contrary, it was consideration of the formidable and near-perfect thermostatic behavior of global mean surface temperature over the past 810,000 years that led us to agree with the more short-term observations of Lindzen & Choi (2009,. 2011) and Spencer & Braswell (2010,. 2011) indicating that g is negative.
Finally, "There's Physics" is perhaps a little confused about the consequences of a negative loop gain. Those consequences do not necessarily include either a stasis or a fall in global temperature. The rate of ocean warming, if one converts the exajoules of heat-content anomaly back to the temperature change that the ARGO bathythermographs actually measure, is a very much less than spectacular 0.5 K/century equivalent. As you will see from our paper, our projection based on a negative loop gain is for warming of 0.9 K/century equivalent. From the fact that we expect temperature change to continue slowly upward, "There's Physics" should infer that we do not expect equilibrium to be attained until either our small, harmless and beneficial influence on the climate ceases or unless it is offset - as it arguably is at present - by a natural counter-forcing such as an increase in cloud cover or a decrease in solar activity.
Nor is our reason for the choice of a net-negative closed-loop gain g
ReplyDeletebased on a short time-interval. On the contrary, it was consideration of
the formidable and near-perfect thermostatic behavior of global mean
surface temperature over the past 810,000 years that led us to agree
with the more short-term observations of Lindzen & Choi (2009,.
2011) and Spencer & Braswell (2010,. 2011) indicating that g is
negative.
Except this is nonsense. The variability in temperatures over the last 810000 is a consequence of small changes in external forcings and hence g is not negative and not as small as 0.1. It is really difficult to have a scientific discussion with someone who keeps repeating things that are clearly wrong.
If you have a grown-up scientific point about the paper, please do make it.
ReplyDeletevariations in cloud cover (accounting for a forcing of 2.9 W/m2 just from 1983-2001, for example)
ReplyDeleteVariations in clouds isn't a forcing!
Read Pinker et al. (2005) and weep. Of course a change in cloud cover is a forcing. It directly affects the amount of sunlight reaching the Earth. Pinker quantifies the rate of forcing over the period, and does so in Watts per square meter, the usual measure of forcing. For a consideration of the implications, see my paper on clouds and climate sensitivity published in the 2010 Annual Proceedings of the World Federation of Scientists' Seminars on Planetary Emergencies: a snip at $200 a copy.
ReplyDeleteAs noted elsewhere in this thread, the forcing caused by the increase in pre-industrial Co2 concentration from 180 to 280 ppmv is 5.35 times the logarithm of the proportionate change: i.e., 2.4 Watts per square meter. Then there are the Milankovich cycles, supervolcanoes, asteroid impacts, continental drift, and numerous other major events capable of triggering quite substantial forcings. So one should not assume that the forcings over the past 810,000 years have been small. Besides, the magnitude of the Bode relation's impact at such high loop gains as predicted by IPCC would be expected to be several times the very narrow interval of temperatures inferred by the climate models.
ReplyDeleteRemember that before we published we consulted very widely on both sides of the absurdly contentious and acrimonious climate debate. Our point is being taken seriously by those with open minds, and has already provoked at least one major paper now passing through peer review, written by an eminent expert in the field, who now - after studying this and related questions, such as the fact that feedback loops do not apply to all of the individual characteristic-emission altitudes for different gases - agrees with us and with a growing body of papers in the reviewed literature that feedbacks are likely to prove net-negative.
As a campaigner in this field, you may wish to disagree, but describing as nonsense a matter that is being debated in the literature is not perhaps the most adult way to go about convincing us that you are correct.
And that reminds me of the prostitute, the engineer and the politician who were meeting in a bar and discussing which of theirs was the oldest profession. The prostitute said hers was known to be the oldest. The engineer said that God had created order out of chaos, which was no mean feat of engineering. And the politician, a member of the House of Lords with an Old Harrovian tie and prominent, searching eyes, smiled gently and said: "Who do you think made the chaos?"
ReplyDeleteI see no science here: merely whining. Why waste time on sneering when you could be doing some science?
ReplyDeleteLook up the definition of forcing. A change in cloud cover is a feedback, not a forcing.
ReplyDeleteThat what the press release claimed. If you know press releases are designed to influence the gullible, why would you believe that claim when the rest of the data from NASA says it isn't likely that 2014 is the warmest on the record?
ReplyDeleteIf you need to ask me to show you what the NASA release says, you are truly a dunce. You are citing NASA and YOU should know what they say. Why don't you know the WHOLE story??
Oh, do at least read the paper by Pinker et al. before making any more mistakes. The cloud cover does not appear to have changed over the stated period as a consequence of temperature change and cannot, therefore, be a feedback in response to that change.
ReplyDeleteWhat? Pinker et al. is about global dimming. Where in that paper does it say that changes in cloud cover are a forcing rather than a feedback?
ReplyDeleteWell, I haven't seen it, so I can't really make a truly scientific comment. I can only judge it on past experience. It's not looking good, so far.
ReplyDeleteAs a campaigner in this field, you may wish to disagree, but describing
ReplyDeleteas nonsense a matter that is being debated in the literature is not
perhaps the most adult way to go about convincing us that you are
correct.
And continually implying that those who disagree with you are childish is particularly infantile. Bear in mind, that I'm not trying to convince you that you're wrong. That would be futile. I'm trying to convince everyone else. In fairness, you're probably doing a pretty good job all by yourself.
His behavior in this forum is no different than his behavior on the infamous WUWT blog. When he has to defend his work by calling people names.......it's not helping his cause.
ReplyDeleteIf you are saying it is so incorrect, why does it match the rwt more than the IPCC models?
ReplyDeleteThe IPCC models have always been overly doom and gloom, yet not a fraction of what they predicted has happened, though in this model the calculations are much closer to real world effect?
I do not call those who disagree with me childish because they disagree with me but because they are childish.
ReplyDeleteAnd your scientific point (if any)?
ReplyDeleteAhhh, I see. It's just a coincidence that all of those who disagree with you also happen to be childish?
ReplyDeleteIf a third party observation of your immaturity upsets you, I suggest you find another endeavor to engage in. Science is a blood sport, and you don't seem to be handling the cuts and bruises very well.
ReplyDeleteDon't be childish. Those who disagree with a scientific argument should explain in reasonable detail what is wrong with that argument. Those who do that, and make credible scientific points, will merit scientific answers even if I disagree with the points that are being made. But if you resort to yah-boo I shall give as good as I get.
ReplyDeleteMeanwhile, getting back to the science, it is near-certain that the exaggerated predictions of the climate models stem chiefly from the inappropriately large amplification of the small direct CO2-driven warming via implausibly-strong net-positive feedbacks implausibly amplified by an equation that does not apply to the climate.
Don't be childish.
ReplyDelete:-)
via implausibly-strong net-positive feedbacks implausibly amplified by an equation that does not apply to the climate.
Wrong. The equation you're referring to is only ever used in energy balance type calculations, which use observations (and estimates of forcings) to determine the level of feedback and, typically, to estimate the TCR and ECS. The equation you're referring to is not used in more complex GCMs. In GCMs the feedbacks are an emergent property of the model, not something imposed on the model through imposing strong-net-positive feedbacks as you are - incorrectly - suggesting.
Can you tell me which year NASA said was more likely than 2014 to have been the hottest year on record?
ReplyDeleteScience........???
ReplyDeleteHow's this?
"God is not a process control engineer"
Also, did you know that most process control engineers don't design electronic circuits? The electronic engineers design electronic circuits, process control engineers don't normally engage in that activity. Process control does employ feedback, and they may use electronic circuits do do so, but.....they usually have their buddies down the hall do the circuit design.
Now about the outlier dataset RSS.
...
Per statistical analysis you are correct when you say.....
"There has been no global warming for 18 years 3 months"
But, you forgot something else......
"here has been no global cooling for 18 years 3 months"
...
And in fact.
...
Per the RSS dataset.
...
"We don't know what the trend is for 18 years 3 months"
So, yes you are correct, but you also are issuing a misleading statement with your 18 year 3 month statement.
...
Now, UAH, GISS, NOAA and HADCRUT datasets don't say that....so you've picked one dataset out of five, where the other four don't agree with you.
..
"Sea ice was supposed to have disappeared in the Arctic summer by 2013, according to Al Gore"
?????.....that is not what Al Gore said. Blatant lie.
..
I'll end my reply after pointing out your lie.
Here's Al Gore's exact words...
...
"Last September 21 (2007), as the Northern Hemisphere tilted away
from the sun, scientists reported with unprecedented distress that the
North Polar ice cap is "falling off a cliff." One study estimated that
it could be completely gone during summer in less than 22 years. Another
new study, to be presented by U.S. Navy researchers later this week,
warns it could happen in as little as 7 years"
Why waste time on sneering when you could be doing some science?
ReplyDeleteI get paid to do science. Sneering I do on my own time ;-)
See line 5 of the abstract, where it is plainly mentioned that the change in solar irradiance reaching the surface is denominated in Watts per square meter (for a forcing) and not Watts per square meter per Kelvin (for a feedback). See also Fig. 1 for a further such indication, and further note both from the abstract and from the figure that there is no correlation between the pattern of warming (an uptrend throughout the study period) and the pattern of change in solar irradiance reaching the surface.
ReplyDeleteOf course solar irradiance is clearly in Watts/m^2. Changes in solar flux is also clearly an external forcing. However, the Pinker et al. paper is only looking at changes at the surface. It doesn't specifically establish what is causing the changes. It also doesn't tell you that the full change is actually a change to the energy flux, because some of the energy could be being absorbed in the atmosphere, rather than reaching the ground. Additionally, even if it is due to changes in cloud cover, that doesn't make it a forcing since changes in clouds is typically either a feedback or internal variability. Just because they presented something in Watts/m^2 does not mean that this is a forcing.
ReplyDelete"Don't be duplicitous. At one moment you say we did not acknowledge our
ReplyDeletesources, at another you complain because we did. One concludes that you
are desperate to find something to complain about."
No, you are just misrepresening again what I really said. But we are going in circles now. Intelligent people will hopefully be able to read and understand what I said in my posting and the following comments. Thus, I leave it to their own evaluation.
"You cite Hansen with approval and then say the Bode system-gain equation, which is specifically mentioned in IPCC (2007) and is
derivable from the equations in Hansen (1984), is not used in the
models."
Because it is not used in the models. Hansen et al. (1984) use the equation as conceptual introduction to explain the principal working of feedbacks. Scientists do these things sometimes. They use simple conceptual models to help with understanding things. There is no logic in the assertion, which goes because Hansen et al. do this in their paper (in the Introduction) the Bode equation is used also in the GCM to calculate the feedbacks. The claim that one would follow from the other one is a non-sequitur.
On what page of the IPCC-Report 2007 is the Bode system-gain equation specifically mentioned, as you claim? And how would mere mentioning of the equation be evidence that it was used in complex climate models? This is again a non-sequitur.
"And have you looked at the code for Giss ModelE,"
Guess what. More than once. But have you? Thus, tell me then where in ModelE is the Bode system-gain equation used to get strong net positive feedbacks? What module? What subroutine?
The source code for ModelE is public:
http://www.giss.nasa.gov/tools/modelE/
"Murphy et al. (2009), whose extreme climate-sensitivity predictions depend upon the mutual amplification of strongly net-positive feedbacks
using the Bode equation?"
You will have to provide the bibliographic information, when you reference something, if you want that the reader knows what specific study you mean. I guess you refer to following study:
Murphy, D. M., S. Solomon, R. W. Portmann, K. H. Rosenlof, P. M. Forster, and T. Wong (2009), An observationally based energy balance for the Earth since 1950, J. Geophys. Res., 114, D17107, http://dx.doi.org/10.1029/2009JD012105
The first sentence in the study already states:
"[1] We examine the Earth's energy balance since 1950, identifying results that can be obtained without using global climate models."
And further down in the Introduction of the paper:
"[6] Our approach in this paper is to
examine the limits that can be placed on the Earth's energy budget not
by using climate models but rather based strictly on observations: we
use measurements of surface temperature, ocean heat content and
satellite observations of radiative fluxes...."
How is this study supposed to support your claim that the Bode system-gain equation was used in complex climate models? Where in the study do you get that from? The study doesn't even use such a model. It uses measurements instead.
Can you tell me the odd of 2014 being the warmest year? If you know that, you know that there is a 52% chance another year was warmer. Why are you so desperate to deny what the work actually says?
ReplyDelete2014 has the highest probability of being the warmest year. No other individual year has a higher probability.
ReplyDeleteIn other words, of the years in your cohort of 52%, which one beats 2014?
Jeeezzz....get off it and say something relevant to the science...if you in fact can.
ReplyDeleteHey....if you disagree with my observations that is fine, just say so.
ReplyDeleteJust too insipid, TP.
ReplyDelete"I am also intrigued by Dr Miskolczi's work"
ReplyDeleteClear sky (in visible) Optical Depth (in infrared) is key.
For the greenhouse effect to increase, Clear Sky optical depth has to increase.
It has not and it cannot. Because clouds form.
This negates IPCC, CO2 warming assertions.
All the Greenhouse warmers have, is a Second Law Violation.
Photons are emitted by the surface. Some Photons are absorbed and thermalized.
Most of the energy is radiated back down. Some is conducted back down.
Three Cheers for Perpetual Conduction.
Do an experiment to verify Green Leprechaun, pot of Gold, at the end of the rainbow, Warming.
ReplyDeleteMapping of Centrifugal force and Gravitational force is one to one and onto.
Build a large centrifuge, put a Sunlamp in the middle.
"Proof There is No Climate Problem"
ReplyDeletehttps://www.youtube.com/watch?x-yt-cl=84359240&x-yt-ts=1421782837&feature=player_embedded&v=W4ELbzr8kjI
He always resorts to that. The only defense is to call him a dirty Communist. I tried it once and it seemed to quiet him down. I mean monckton obviously is such a communist. Right?
ReplyDeleteCome on, answer my question. It's not tricky. Which year did NASA say was more likely that 2014 to be the hottest year on record?
ReplyDeleteIt is not a feedback unless it is denominated in Watts per square meter per Kelvin. Just work through our model canceling units carefully and you'll see why, if it isn't obvious already. This is elementary. And global brightening or dimming are no less forcings because one can speculate that feedbacks of some magnitude or another may arise from them. It is axiomatic, following from the definition of a temperature feedback, that it is an additional forcing proportional to the forcing that triggered it. Therefore, if Rachel Pinker had intended to represent the change in cloud cover over the study period of 18 years' quite rapid warming, she would have done so, and the units would have even W/m2/K.
ReplyDeleteCupentrifugal and gravitational forces are equal only if the orbital velocity is appropriate. If, for instance, an object has a zero orbital velocity, it will strike the planetary body in0.177 of an orbital period.
ReplyDeleteI notice you haven't answered my question above. I'll repeat it. Which year did NASA say was more likely than 2014 to have been the hottest year on record?
ReplyDeleteIt is not a feedback unless it is denominated in Watts per square meter per Kelvin.
ReplyDeleteRubbish. A feedback is a response to changes in temperature. You can of course write it as W/m^2/K^-1, or you could write the net effect (W/m^2). All that Pinker are doing is determining the change in surface flux. They don't even really attempt to determine why this is changing and they don't establish if how this changes the overall energy budget.
Also, it's not a forcing just because it is written as W/m^2; that's simply a flux. Forcings and feedbacks are well-defined terms. You should aim to understand them better before you write your next paper.
Chem-trailing, greenhouse gases and Solar activity force clouds.
ReplyDeleteChemtrails? Also, just because you've used the word "force" in the above sentence doesn't mean that changes in cloud cover is a forcing.
To solve a problem and gain insights, it can be modeled in another system.
ReplyDeleteFor example, a scale model of a ship is tested, in a large water tank, before it is built.
There are equations, which transform results from the scale model to the ship.
The mapping of gravity to centrifugal force is one to one and onto. F=GmM/r² <--> F=mω²r
The forcing can come from Solar Radiation.
ReplyDeleteIgnoring that some of what you said after that isn't really supported by evidence, this is rather the point. The change in cloud cover is not a forcing, it's a response (i.e., a feedback). Forcings are - by definition - external (to our climate) influences.
Don't be pompous. You've been caught out in numerous lapses of elementary climatological knowledge in this thread, so no preaching, please. Arguably my knowledge of feedback mechanisms is considerably in advance of yours.
ReplyDeleteAs to the scientific part of your latest, there is absolutely nothing in the Pinker paper to say whether the significant change in the quantum of solar radiation reaching the Earth's surface is temperature-dependent. It would be very poor practice not to make it clear that a feedback denominated in W/m2 with no mention of the temperature dependence in the units is a feedback.
In the absence of any such statement - or even of any statement that it is not clear whether the Watts per square meter are of forcing or of feedback - the presumption is that it is a forcing.
What is funny is that he calls his opponents "climate-Communists" but then has the audacity to publish in a journal in a Communist country.
ReplyDeleteDon't be pompous.
ReplyDeleteThat's classic. You're calling me pompous.
As to the scientific part of your latest, there is absolutely nothing in
the Pinker paper to say whether the significant change in the quantum
of solar radiation reaching the Earth's surface is
temperature-dependent.
Precisely, all they're doing is determining the change in surface flux.
It would be very poor practice not to make it
clear that a feedback denominated in W/m2 with no mention of the
temperature dependence in the units is a feedback.
No, because all they did was point out that one plausible reason for the change in surface flux is a change in cloud cover. There were other explanations. Their work didn't allow them to establish which best explained the observations. You can't argue that because didn't say something that someone that means it's not an explanation. That's absurd.
No. Hansen (1984) says the loop gains, system gains and equilibrium temperature changes are calculated with a model. I told you before to do the math. From his table 1 you will be able to determine by calculation that the model was using the Bode system-gain relation.
ReplyDeleteFrom his table 1 you will be able to determine by calculation that the model was using the Bode system-gain relation.
ReplyDeleteNo, read it more carefully. It says that it uses the output from the models to determine the gain, feedback factor and equilibrium temperature. It doesn't say the Bode system gain was used in the models themselves.
Somewhat belatedly I thought I might bring to your attention the fact that I have been diligently doing my homework, and here are some of the assorted ways in which NASA discussed the probabilities long before the Sunday papers started prattling on about a supposed "row back".
ReplyDeletehttp://GreatWhiteCon.info/2015/01/was-2014-really-the-warmest-year-in-modern-record/
"There's Physics" had originally stated that cloud cover change was a feedback, not a forcing. Dr Pinker, however, makes no such statement. And I think you have at least moved towards me to the extent of accepting that a cloud cover change can be a forcing, contrary to your earlier assertion.
ReplyDeleteAlso, read what I quoted in more detail: "clouds are major modulators of the solar radiation that reaches the surface." Wonder how that word "major" got lost.
Nor is it scientific to shift between the radiation budget and the temperature change to get out from under scientific mistakes. If in fact much of the temperature change from 1983-2001 was caused not by Man but by a cloud forcing, in Watts per square meter - and, like it or not, that is the thrust of what Dr Pinker is saying - then we have even less to worry about than if all of the warming in the closing decades of the 20th century was manmade.
If the models exaggerate the imagined net-positive radiative imbalance, they will also tend to exaggerate global temperature change. If the models - as they do, like it or not - use the Bode system-gain equation, they will tend to exaggerate the system gain and hence also tend to exaggerate global temperature change.
And even if there are some models that leave the operators to calculate the system gain, if the operators use the Bode equation they will tend to exaggerate the system gain and hence also global temperature change.
And that's one of the main points of our paper. The Bode equation is inapplicable, and particularly so when feedbacks are thought to be strongly net-positive. It produces unstable or unphysical outputs that bear little or no relation to observed or inferred temperature change over the past 810,000 years.
However, one advantage of having gotten the paper published and the marker down in the reviewed journals is that others, genuinely interested in the truth, are beginning to ask the right questions about the use of that inappropriate equation in climate science.
I shall perhaps lead an international workshop on the problem later this year and see if a multidisciplinary approach may prove fruitful. From the sneers about process engineering upthread, it is clear that many commenters here have little or no understanding of the mathematics of feedbacks in dynamical systems or of the derivation of the Bode equation from the behavior of electronic circuits, or of the role of Black in identifying the existence of negative feedbacks, or of the multiple reasons why the climate falls outwith the classes of dynamical system to which the Bode equation - particularly close to and beyond the singularity, where high net-positive feedbacks are imagined - cannot and does not apply.
And I think you have at least moved towards me to the extent of
ReplyDeleteaccepting that a cloud cover change can be a forcing, contrary to your
earlier assertion.
No, I haven't. Stop making stuff up.
"In summary, the complex task of the relatively fast responding global mean cloud cover is to assure the conservation of radiant energy and momentum on a global scale, maximize the LW cooling to space (radiative equilibrium), while observing the thermodynamic constraints applicable to large heterogeneous systems (Maxwell rule)."
ReplyDeletehttps://tallbloke.wordpress.com/2014/12/13/ferenc-miskolczi-the-greenhouse-effect-and-the-infrared-radiative-structure-of-the-earths-atmosphere/
http://atlatszo.hu/wp-content/uploads/2011/07/article.pdf
Looks to me as though the various parameter were inferred from
ReplyDeletecalculations with a 1-D radiative-model. But perhaps I am
misunderstanding matters.
Yes, inferred...inferred. You run a model. The model gives a result. You then use that result to infer the gain, etc.. Read how they define it on page 131
We define the system gain as the ratio of the net feedback portion of the temperature change to the total temperature change
They have a 3D model the result of which is the total temperature change. They then run a 1D model with only one process included. They then use the temperature change in the 1D model relative to the temperature change in the 3D model to determine the gain etc. They're not determining the feedbacks in the models using the Bode equation!
Perhaps I have misunderstood you. However, if you insist that a change in cloud cover is a temperature feedback, and cannot be anything but a temperature feedback, then what is the mechanism by which a direct warming causes a change in cloud cover? And are you saying that the cloud-cover feedback is a positive or a negative feedback? And what is the magnitude of the feedback, in Watts per square meter per Kelvin of direct warming? And would you be kind enough to refer me to one or two key papers that endorse your conclusion on this point?
ReplyDeleteIf I may bring you back to the main point, it seems clear from Hansen (1984) and IPCC (2007) and Roe (2009) that the Bode system-gain equation is used (whether in or out of the models) to determine the system gain factor and hence equilibrium climate sensitivity. Are we now agreed on that much?
ReplyDelete" NASA has had to row back on its press release about the supposed "warmest year" "
ReplyDeleteA quote & cite would have been good....
"If you know press releases are designed to influence the gullible, .."
ReplyDeleteThis article starts out talking about a press release...
"... a 52% chance another year ..."
ReplyDeleteNo. Not logically, mathematically, or even rhetorically accurate....
"...climate-Communist fellow-campaigners. I smell a putrid, Alinskyesque double standard...."
ReplyDeleteWell, if you wish to avoid the main scientific point - inferentially because it is uncongenial to you - that is your right in a free country. One cannot get equilibrium climate sensitivity from any climate model unless - either within the model, as in Hansen (1984) or after it has determined the feedback sum - the system-gain equation is applied to handle the mutual amplification of the feedbacks and yield the appropriate multiple of the zero-feedback or instantaneous temperature response.
ReplyDeleteThe system-gain equation is either inbuilt into the models, where it operates on their feedback sum, or is applied to their output feedback sum by hand (or by a 1-dimensional model in Hansen, 1984). Either way, like it or not, the main point is that no equilibrium sensitivity estimate is made without using the Bode equation to determine the system gain from the feedbacks.
It may be worth your while to do some reading on this. Start, perhaps, with Manabe and Wetherald (1967); then read Hansen (1984) and, as an exercise, derive the system-gain equation from his equations (he omits several steps in the derivation). Also, in Table 1, see how the equilibrium climate sensitivities in the worked examples indeed arise - as the caption makes explicitly clear - from the system-gain equation. Then read IPCC (2007, p. 631 fn.), so that no one can tell you there is no mention of the system-gain equation anywhere in its documents.
The system-gain equation is one of the equations that describes the way climate sensitivity is determined. It is the wrong equation, but it is universally used. It is not an input to or output from the models: it is an integral part of the climate-sensitivity calculation, whether it is coded into the model or applied after the model has determined the feedback sum.
I actually said that changes in cloud cover are either a feedback or associated with internal variability. They can't be a forcing, as that it defined as something external (volcanoes, Sun, us). So, if you want it to be a forcing you need to explain why it is suddenly changing and why it's not simply a response to some other change.
ReplyDeleteAnd what is the magnitude of the feedback, in Watts per square meter per
Kelvin of direct warming? And would you be kind enough to refer me to
one or two key papers that endorse your conclusion on this point?
I'll give you one. Soden & Held (2006). Cloud feedbacks are between 0 and about 1 W/m^2/K^1. You could also read this http://www.astr.ucl.ac.be/textbook/chapter4_node8.html
Well, if you wish to avoid the main scientific point - inferentially
ReplyDeletebecause it is uncongenial to you - that is your right in a free country.
I'm not avoiding the point. You made a claim that is not true. The system gain equation is not used in climate models.
One cannot get equilibrium climate sensitivity from any climate model
unless - either within the model, as in Hansen (1984) or after it has
determined the feedback sum - the system-gain equation is applied to
handle the mutual amplification of the feedbacks and yield the
appropriate multiple of the zero-feedback or instantaneous temperature
response.
Rubbish. You can get the ECS in a climate model by increasing CO2 only at 1% per year for 70 years and letting the model run to equilibrium. The equilibrium temperature change is the ECS, by definition.
The system-gain equation is either inbuilt into the models, where it
operates on their feedback sum
No, it's not.
or is applied to their output feedback
sum by hand (or by a 1-dimensional model in Hansen, 1984). Either way,
like it or not, the main point is that no equilibrium sensitivity
estimate is made without using the Bode equation to determine the system
gain from the feedbacks.
No, see above. You can determine the model ECS without using the system gain equation.
OK.. But that still doesn't explain why the IPCC models are so far off the real world.. Their projections haven't been close.
ReplyDeleteI am not a scientist but I know weathermen are wrong half the time. Lol
Just saying maybe there is more centristic egotism involved. Science has always tried to answer what we don't understand. Which is great. But before everyone calls it gospel we should look and see if the projections they make are even correct.
Idk. Maybe someone else can explain it to me.
"doesn't explain why the IPCC models are so far off the real world."
ReplyDeleteIPCC makes policy, by choosing which papers to promote.
Those running the Carbon Tax Extortion Racket, reward supporters.
"Ezra Levant: The IPCC Climate Change Report is Science Fiction"
http://blog.heartland.org/2013/11/ezra-levant-the-ipcc-climate-change-report-is-science-fiction/
Truth is -- Neither CO2 nor the Sun -- "science is causing climate to change" -- John Kerry
http://www.cnsnews.com/news/article/patrick-goodenough/kerry-climate-change-biggest-challenge-all-we-face-right-now
Blogs are actually a fairly unreliable source of information. It's much better to get one's information from NASA, NOAA, or one of the edus:
ReplyDelete"The new estimates, which are more than twice as accurate because of the inclusion of more satellite data, confirm both Antarctica and Greenland are losing ice."
www.nasa.gov/mission_pages/Grace/news/grace20121129.html
"Blogs are actually a fairly unreliable source of information."
ReplyDeleteYou are so amazingly correct. Those who distract from Government Truth, need to be jailed
"Journalist Who Covered Stratfor Hack Sentenced to 63 Months in Prison"
http://www.infowars.com/journalist-who-covered-stratfor-hack-sentenced-to-63-months-in-prison/
Otherwise, how can runaway prosperity be prevented?
I am sad that this conversation between Mr. Monckton and Mr. Perlwitz got so badly derailed by the juvenile postings of some others. I thought it courageous of Mr. Monckton to attend this site and defend his position, and I would have liked very much to have seen more dialog between him and Mr. Perlwitz. They were just begnning to get to the core of the issues when the conversation got sidetracked.
ReplyDeleteMr. Monckton, I hope you continue your defense. You are wrong about many things (there has so been warming over the last 18 years, you are wrong about climate drivers, especially clouds, and others) but I still believe a good conversation could have (and maybe still will be) had in this thread.
Shame on those on both sides who derailed this conversation.
Forgive me for not dwelling on the science for a moment: this 'don't be childish' phrase you keep repeating over and over is just awful. I can tell you expect is to come across as a level-headed appeal to keep sneering at bay, but in practice it sounds more like a grating schoolyard taunt. If your goal is to encourage people to act like grown-ups then you need to switch tactics because nobody takes orders from a hypocrite. (On the other hand if your goal is just to sneer from behind a wall of false maturity then carry on because you're doing great.)
ReplyDeleteAnyway: From the looks of things you were just getting to the Illuminati and lizard people so please don't let me distract you.
Russ,
ReplyDeleteIf you're interested (and, so far, noone who's ever started with what you've said has been, but I'm a glutton for punishment) here's an attempt at an answer.
But that still doesn't explain why the IPCC models are so far off the real world.
This isn't strictly true. What you typically see are model ensembles. In other words, what is presented is an ensemble of a large number of models and the range that is presented is the range in which we'd expect to find the actual temperature. Currently the temperatures lies within this range and we would even expect it to fall outside a small amount of the time (i.e., the range is something like the 95% range, so observations should fall inside the range 95% of the time). That it happens to be towards the bottom of the range doesn't invalidate the modes.
Additionally, the models are run with known forcings up to some point in time (probably around 2000) and then run with projected forcings after that, since we can't know what they'll be in the future. Of course, what actually happens can (and did) differ from what was assumed for many of the models. If you correct for this, the model output better matches the observations.
There is no real reason at this stage to suspect the models are far off the real world or that our future warming will lie outside the range of warming projections from climate models.
So basically the assumptions made are not updated as much as the model results are published?
ReplyDeleteI am 34. In elementary school we were all told the next ice age is coming because of CFC and the whole in the ozone was going to freeze us out.
In highschool we were told by 2004 there would be no more article ice, the oceans would rise, today the models have changed the rhetoric has also changed where now it isn't global warming but climate change.
Which to me the climate is always changing if it wasn't there would have never been an ice age or it would have never recovered.
The way you explain it makes it seem more correct that basically it is all a guess, and people should pay more attention that it is possible.
I am a believer that there is too much ego involved in the climate discussion. Sure man does have some effect on the environment but the idea that man by himself is causing the climate to change is, I think our own ego.
People will eventually stop listening if the climate change representatives keep telling warning if the extremes in the model.
If climate scientists would ban together and say here is our best guess and what could happen and what the chances we are taking is. That might sway more of the skeptics.
Like I said I am no scientist, but I believe it is still far from science fact that man is causing all the change. But I do believe we cannot abuse the aquarium of earth we live in.
So this is a few days late, but I've had a look at Viscount Monckton's model and found some interesting things. Since he has invited scientific comments on his paper, I thought I'd put them down here and see what he (and others) think.
ReplyDeleteI'll just pick the top three, roughly in declining order of importance:
1) The model is unphysical and too simple for the task. There are many parameters discussed in the paper, but when it comes down to it the equation being used is ΔT(t) = ΔRF(t)*0.6*0.588 (where ΔT(t) = global temperature change and RF(t) = radiative forcing, both at time t). This equation is compared to observations in Table 4 and future RCPs in Table 6.
Such a model is patently unphysical. For example, under an instant change in RF it predicts an instant jump in temperature to a new equilibrium, at odds even with Figure 4 in the same paper. It also does not match the observed real-world evolution of ΔT very well. I've applied the equation myself (using the publicly-available database of historical RF from the RCPs) and attached the resulting graph to this post.
As you can see, whenever there is a major volcanic eruption leading the RF to drop for a year or two, the model estimate plummets in response, way more than the real world. Of course this is because the real world takes time to equilibrate, smoothing out such sudden troughs in forcing. Conversely, even if RF flattens out in future, there is further warming in the pipeline, ignored by the Monckton model. This could be partially improved in the model by summing contributions to the r parameter from all ΔRF before time t, rather than assuming it is a function of the present time only and fixing it at 0.6.
2) The paper contains several numerical errors. It claims the warming from January 1850 to April 2014 is 0.8K, when it is 1.36K according to HadCRUT4. Using annual averages, 2014 was 0.93K warmer than 1850. In table 6, the IPCC ΔT's for 2100 are actually relative to a 1986-2005 baseline, not 2014. All of them should therefore be reduced by 0.26K. Plus they are labelled as ΔT_2x when they are in fact ΔT(2100). In the same table the q values (denoting the ratio of CO2 RF to total RF) are wrong. It appears the authors estimated total RF using the sum of CO2, N2O and CH4 RFs alone, ignoring all the other forcings in the RCPs. This is an especially surprising error since the RCPs each give a clue to the total ΔRF in their title! So, for instance, the correct value of q^-1 in 2100 for RCP8.5 is (280/936)*exp(8.5/5.35)=1.47, not 1.40.
3) A proper characterisation of the uncertainties is lacking. When the model is fitted to observations in Section 7 and Table 4, no account is given for the uncertainty in observations nor, critically, the total ΔRF, even though these are stated explicitly in the cited sources. No optimisation of r and λ values is attempted apart from choosing high, middle and low values. One has to wonder as to the role of the specialist statistician on the author team.
I'm happy to be corrected if I've made a mistake, But, as it stands, to me the paper is fatally flawed.
So basically the assumptions made are not updated as much as the model results are published?
ReplyDeleteThey take a long time to run and the one goal is to understand how we will warm along different possible future emission pathways in the coming century. A mismatch for a decade or so - given internal variability and the possibility that we aren't precisely following one of the assumed pathways - is not necessarily all that important. Also, some people have published corrections (Schmidt et al. 20
Do you agree that while you are understanding the changes that might come. Calling man made climate change science fact might be a push, as well as the problem that arises from politicians and papers calling the extremes a given future, might cause doubt's when the extreme doesn't happen which discredits the science involved, to people who aren't willing to look for themselves.
ReplyDeleteCalling man made climate change science fact might be a push
ReplyDeleteI think the basic science associated with climate change is very strong and I'd be very surprised if what happened differed greatly from what is projected to happen.
as well as the problem that arises from politicians and papers calling the extremes a given future
What politicians and the media say has little to do with what the scientists say.
might cause doubt's when the extreme doesn't happen which discredits the
science involved, to people who aren't willing to look for themselves.
If what is projected to happen doesn't, we should be very pleased. If we decide that it won't happen and consequently do nothing to reduce our emissions, we should be hoping that what's projected to happen doesn't, because what we do is largely irreversible.
Update, 01/23/2015:More criticism of the Monckton et al. paper here at www.carbonbrief.org, including some additional comments by me on severe flaws in the paper.
ReplyDelete"Calling man made climate change science fact might be a push"-
ReplyDelete"I think the basic science associated with climate change is very strong and I'd be very surprised if what happened differed greatly from what is projected to happen."
But hasn't the climate always changed as I said above? Do you think that climate change is caused by man? Or a combination of all factors?
While the science behind it as well the scientists are bright and do the best job each can. The issue still remains is that we don't fully understand it. If we were able to project with accuracy, say this year we will be .1 degree cooler and the green house gases will be here. Or at least be close. That would give a lot more weight to the accuracy of the current models.
If the climate is changing as it has in the past do you really think we can stop it?
Just saying the more we study the better we understand. We do have to be
ReplyDeletecautious if what happens to the earth. ButbBut scienceacience also
needs to be cautious how their opinions are used to sway the uninformed.
Indeed, this is of course true. Something to bear in mind (and I may have mentioned it above) is that much of what we do in terms of our emissions is irreversible. So waiting to understand things better may be the wrong thing to do if what science is suggesting today turns out to be roughly correct. It's a risk management issue, in some sense.
Was 2014 in fact the warmest year during the history record...not "in the record"...but actually the warmest year?
ReplyDeleteThat's either a yes or no. If you believe that it was, IN FACT, the warmest year, how do you know that?
Come on, answer my question. It's not tricky. Can you tell me the odds of 2014 being the warmest year yet? ACTUALLY the warmest year as has been ballyhooed about?
ReplyDeleteIf yes, what are the chances you are WRONG?
But if you know my post you responded to was in response to CB's temperature claim, why are you changing the subject? Or are you addressing someone else?
ReplyDeleteYes, I can tell you the chance that 2014 was the warmest year (NASA was 38% and NOAA was 48% IIRC). Now answer my question. Which year did NASA say was more likely than 2014 to have been the hottest year on record?
ReplyDeleteOH...sorry. I've had the flu. I know it's difficult for you to believe...by your smarmy post here...but you haven't been on the top of my list for the last couple of days.
ReplyDeleteYour response makes my comment above even more valid.
Why would I not believe you've had the flu? If you say you've had the flu, then I beiieve you've had the flu. However, now that you're back, rather than claiming that my response makes your comment more valid, you could answer my very simple question. Which year did NASA say was more likely than 2014 to have been the hottest year on record?
ReplyDelete"TP'' IF typing out a user name is too difficult, copy paste works.
ReplyDeleteUnless you were trying for some grade school playground humor....
Just pointing out the irony...
ReplyDeleteWhat part of the discussion from NASA do you find difficult to follow?
ReplyDeleteOr are you content in regurgitating the content from your favorite 'anything but my tailpipe ' blog?
Thank you for this interesting comment. One thing has become clear, also from my own examinations. One has to double check every sentence, every claim, every number, and every reference that is cited as alleged support for a claim for their correctness in the paper. The more one digs the more comes to light.
ReplyDeleteThank you for a clear answer. Your question is misdirection, however. You went from a nice clear answer to a loaded question...possibly disingenuous. I hope not.
ReplyDeleteClearly they did not say any other specific year was "more likely than 2014 to have been the hottest year on record?"
Did they say 2014 was "more unlikely than likely" the warmest year? Simple answer is.....?
Which I did back on the original thread. So run on over there.
ReplyDeleteOh...believing that I had the flu wasn't the point. My point was you believing that everyone hangs on your own every word...which is clearly a valid observation as we progress.
Anything relevant, R?
ReplyDeleteYour question is misdirection, however.
ReplyDeleteThat's remarkably ironic, given your response. Now please, at least try to answer my question. Which year did NASA say was more likely than 2014 to have been the hottest year on record?
So far you haven't made a single point. Just sort of drive-by snark. State your point wrt the NASA "discussion". Or wander off.
ReplyDelete"So far you haven't made a single point."
ReplyDeleteYet there seems to be some compulsion for repeated replies....
Of course, just bringing the evidence forward....
Which I did back on the original thread.
ReplyDeleteNot that I could see. However, I'm clearly wasting my time, so I shall stop doing so.
" In elementary school we were all told the next ice age is coming because of CFC and the whole in the ozone was going to freeze us out. "
ReplyDeleteFunny how no one has been able to bring forward any evidence supporting that. No lesson plan. No textbook. No supporting material like a handout...
But it seems a whole bunch of 'skeptics' were there....
".. Or wander off."
ReplyDeleteAh, .....
Thank you for the analysis. Probably more depth than really justified, but good to see how real science works.
ReplyDeleteYour reasoned response also shows what can happen when the analysis becomes a learning experience for authors and readers.
Because he'd rather be able to claim you didn't look far enough and still not bring his prior claim..
ReplyDeleteFor the innocent, is Info Wars for real or a parody?
ReplyDeleteIn the internet age this is unfortunately not always clear.
So far as I can tell, plenty of scientific points have been made. You usually answer them with don't be childish. Then you make a point about not having a scientific point. I don't have a scientific point to make, just an observation of how you operate. Your rhetorical flourishes might sound good in the common room of the Upper Sixth at Harrow. Here they just look, well, childish.
ReplyDeleteDon't be childish. Illuminati? Lizard people? What are you on about?
ReplyDeleteMeanwhile, thousands of scientists have downloaded our paper and I expect that most of them are looking at the scientific arguments in it with a clear and unprejudiced eye.
I'm intrigued that you are willing to indulge those who call me a plagiarist in the same breath as admitting we have supplied references for every outsourced fact in the paper, suggest I am suffering from dementia, saying I am not a Lord, and yet, when I point out that such arguments are childish, you have no criticism at all for them but you seem to be criticizing me (though with all the guff about lizard people I'm not really sure that even you know what you're saying). Does one detect a putrid, Alinskyesque double standard in operation?
Be that as it may, I have been conducting an experiment this week in which, rather than taking the sneers without complaint, I ask the sneerers not to be infantile. And, gracious, how Lord Lundy cried! They don't like it up 'em, as a celebrated corporal used to say.
Fortunately, the organized (and sometimes lavishly paid-for) sneering is now bouncing back on the climate Communists. They do their best to trash my reputation not, of course, to try to silence me but to put fear into the hearts of anyone else who might otherwise speak up and start asking questions about the supposedly "settled" science that is exposed as more than somewhat defective in our paper.
But the net effect is to draw other climate Communists into sneering at me, with the result that my arguments gain far more currency than they would otherwise do. Frankly, the conduct of the scientific debate on the part of the thermo-Fascists - or, rather, their attempt to shut down all dissent, with frequent demands for the death penalty for anyone who, like me, raises legitimate scientific questions about the Party Line - is contemptible.
If you have a grown-up scientific point to make about the paper, please make it. Otherwise, why bother to post here. Go and get a life!
ReplyDeleteYou might notice that "Monckton" does not often defend anything but throw out more accusations, usually of childishness. His style is not one of searching for scientific truth but of trying to win a debating point. Very public school.
ReplyDeleteWhat evidence?
ReplyDeleteI was just being polite by responding. However...you are QUITE correct. I should just ignore you...and will w/o something relevant. Bye now.
I don't know about you, but I didn't keep any home work from elemtary school, did you? Would be kinda funny to keep dragging that around.
ReplyDeleteIf you google ozone hole, you see a nice national geographic article about it, and if you look more at the 2005 and 2006 prediction summary, it talks about the destruction of the lower ozone causing colder temperatures and polar vortex will prevail due to destruction of lower stratosphere or ozone. But I guess you never heard that in the late 80's or 90's..
Wait! I replied to another poster and you intervened with your simplistic loaded question. But you know that, don't you. Ironic...yes, but not in the way you think.
ReplyDeleteGood to actually begin paying attention. Thanks. This one just preceded my response above.
ReplyDeleteS Graves There's Physics 2 hours ago
Thank you for a clear answer. Your question is misdirection, however. You went from a nice clear answer to a loaded question...possibly disingenuous. I hope not.
Clearly they did not say any other specific year was "more likely than 2014 to have been the hottest year on record?"
Did they say 2014 was "more unlikely than likely" the warmest year? Simple answer is.....?
No, I don't know it. I can't find where you answered my very simple question. And, it's not loaded. There is an answer. You can give it and qualify it any way you like. So, which year did NASA say was more likely than 2014 to have been the hottest year on record?
ReplyDeleteTry this;
ReplyDeletehttps://disqus.com/home/discussion/thoughtfragments/thought_fragments_monckton_soon_legates_and_briggs_falsely_claim_to_have_presented_a_new_climate_mod/#comment-1813383831
Tried posting this...but it seems to die. I'll try again...try this link, if it sticks.
ReplyDeletehttps://disqus.com/home/discussion/thoughtfragments/thought_fragments_monckton_soon_legates_and_briggs_falsely_claim_to_have_presented_a_new_climate_mod/#comment-1813383831
Clearly they did not say any other specific year was "more likely than 2014 to have been the hottest year on record?"
ReplyDeleteNot quite right. According to their data, no other single year is more likely than 2014 to have been the hottest year on record. The next most likely is 2010 at 23%.
You are attempting to demonstrate something that isn't proved more
significantly than "more unlikely than likely" to be a fact. That
smacks of being disingenuous.
No, I was simply trying to demonstrate that 2014 is more likely than any other single year to have been the hottest year on record.
But let's just debate this in one place. I understand that you are
trying to drum up traffic to your website. You certainly need it.
If I wanted to drum up traffic to my website, wouldn't I provide some kind of prominent link?
Christopher, I am going to ask a serious question that is not about the science but about your mannerisms and behaviour. Why do you choose to deflect criticism by your little linguistic tics? We know you do it. You know you do it. If you wanted to maintain the discussion of the science, you would not do it. Do you so lack confidence in the veracity of your own paper that you cannot debate without the need for what you will agree are puerile comments? As TheresPhysics would say, I am grown up and I do have a life. You make my point for me.
ReplyDeleteWait...
ReplyDeleteI said "...they did not say any other specific year was "more likely than 2014 to have been the hottest year on record?" That was in direct answer to your question...and I quoted your question. Doesn't that mean that no other single year is more likely than 2014 to have been the hottest year on record?
Did you find the original thread...or do you just want to go on duplicating responses.
"No, I was simply trying to demonstrate that 2014 is more likely than any other single year to have been the hottest year on record."
But you see, I have already directly answered your question on the other thread. See why I'd like to keep it in one place. You see...I totally agreed with you. But go on demonstrating, if you like.
Is this your website?
"Meanwhile, thousands of scientists have downloaded our paper and I expect that most of them are looking at the scientific arguments in it with a clear and unprejudiced eye."
ReplyDeleteWill you still be saying they used an unprejudiced eye if they agree with the post upon which we comment and say that you are wrong? Or will you call them climate communists and thermofascists?
You query; "Now please, at least try to answer my question. Which year did NASA say was more likely than 2014 to have been the hottest year on record?"
ReplyDeleteYou didn't like the answer just above?
"Clearly they did not say any other specific year was "more likely than 2014 to have been the hottest year on record?"
Are you arguing this with me somewhere else?
they did not say any other specific year was "more likely than 2014 to
ReplyDeletehave been the hottest year on record?" That was in direct answer to
your question...and I quoted your question. Doesn't that mean that no
other single year is more likely than 2014 to have been the hottest year
on record?
I was maybe being a bit pedantic, but I was trying to distinguish between what they said and what could be inferred from the data itself. Apologies if your response was intended to be a genuine response to my question. It's sometimes hard to know why people choose the words that they do.
Is this your website?
No, this is Jan Perlwitz's website.
Russ Lema, I am not able to find the same National Geographic article, but you mentioning the polar vortex suggests that maybe the text was not written that clearly. The absorption of ultraviolet (UV) solar radiation by ozone is an important source of heat in the ozone layer. Thus now that the ozone concentrations have dropped, the temperature in the ozone layer has also become less. The ozone layer has become colder, but not the Earth's surface.
ReplyDeleteThe main problem with the ozone layer is the increase of UV radiation at the surface, where it damages plants and land animals, and especially humans without a protective fur.
Are you arguing this with me somewhere else? What's wrong with my response? Please explain.
ReplyDeleteI don't know. I thought we'd kind of resolved this. I'm rather losing interest, to be honest.
I will post links to the articles when I get home. There is also an article published by NASA from 1997. Along with UV the ozone holds heat in. Which is depicted in the NASA article. Without the stratosphere ozone it would let heat move to higher levels of the ozone reducing the temperature on the surface and damaging the higher ozone more.
ReplyDeleteThat is from the NASA article
It doesn't matter much to Monckton if the scientific community rips his "paper" to shreds. He desperately needs to have something, anything published in a peer reviewed journal. The last time he had one of his comments published in APS "Forum on Physics & Society" he subsequently claimed his work was "published in a peer reviewed journal. However, APS added a disclaimer at the top of the comment Monckton submitted.
ReplyDelete..
http://www.aps.org/units/fps/newsletters/200807/monckton.cfm
...
So now, with the publication of this work in the Chinese Academy of Science journal, he has the ability to make the claim he erroneously did wit the APS letter.
The only saving grace is that the Chinese journal doesn't have a very good impact ratio.
Thank you for all your efforts.
ReplyDeleteHummm.....pedantic?
ReplyDeleteSo I agreed with what you said...expressly. Note further that they have stated what can be inferred from the data.
So back to your question; " I'll repeat it. Which year did NASA say was more likely than 2014 to have been the hottest year on record?"
But the real issue is not your question wrt respect to "...more likely..." the hottest year.
NASA didn't SAY anything about most likely in the body of the press release...and that's what people see...and designed to be so. As CB cites below;
"The year 2014 now ranks as the warmest on record since 1880, according to an analysis by NASA scientists."
www.nasa.gov/press/2015/januar...
That appears unequivocal. Now...honestly...what did they say...elsewhere toward the very end of the release... can be inferred from the data about 2014 being the warmest year on record. This is FAR more difficult than it should be it seems to me.
" But I guess you never heard that in the late 80's or 90's.."
ReplyDeleteI think the "...late 80's or 90's.." are well enough documented that if there were a concentration of the claims such yours -" In elementary school we were all told the next ice age is coming because of CFC and the whole in the ozone was going to freeze us out. " - we'd have material evidence.
It's a good talking point. Implies that we can't trust science and one that fits well to many 'skeptical' memes. So it would behoove 'skeptics' to put the effort into bringing support forward. If there were evidence.... But no Weekly Reader, no texts, no teacher materials .
Just a talking point.
So, which year did NASA say was more likely than 2014 to have been the hottest year on record?
ReplyDeleteIt is clear that S Graves does not want to give an answer. Maybe it is not politically convenient to give a straight answer.
Let me answer it for the readers. The simple answer is, NASA did not say that any other year was more likely the hottest year.
They did not because 2014 is by far the most likely to have been the hottest. That the mean temperature in 2014 is the highest is somewhat of a give away. For more details see Gavin Schmidt of NASA.
Your link doesn't appear to work, but I don't really care. You're arguing that they should have made it much much much much much much clearer that there is a chance that 2014 wasn't the hottest year on record. And yet, they provided tables showing the probability for the top 4 or 5 years. 2014 clearly is more likely than any other single year to have been the hottest year on record. Your kind of pedantry is tedious and irritating.
ReplyDeletehttp://news.nationalgeographic.com/news/2010/05/100505-science-environment-ozone-hole-25-years/
ReplyDeletehttp://www.natureworldnews.com/articles/3404/20130808/hole-ozone-cooling-effect-study-shows.htm
http://www.giss.nasa.gov/research/briefs/shindell_01/
Ice Ages and Astronomical Causes: Data, Spectral Analysis and Mechanisms
By Richard A. Muller, Gordon J. MacDonald
This book also describes the following
Cant cut an paste but this should give you an idea..
"ozone is important for several reasons. Ozone is a greenhouse gas, and so its depletion directly affects the surface temperatuew. But more intriguing connection comes from its role as the primary absober of ultraviolet radiation in the upper atmosphere. By doing so it provides the heat that causes the tempturae at high altitudea to in with altitude creating a permanent "inversion" layer...puts a cap on the troposhere, the region of atmosphere that contains our wether and our climate. ... It is the limit to which convection will rise and it created by ozone."
https://books.google.com/books?id=P8ideTkMQisC&pg=PA228&lpg=PA228&dq=hole+in+ozone+could+cause+ice+age&source=bl&ots=tAOWMu6Ev7&sig=AfSX5FIwke2Vadhgw7FrXrvSN7I&hl=en&sa=X&ei=rtLCVImuB4GwggTQz4OQBA&ved=0CFEQ6AEwBw#v=onepage&q=hole%20in%20ozone%20could%20cause%20ice%20age&f=false
That is the link to what I read.
It is not about not trusting science and I never said that, it is about taking in all sides of an hypothesis, and considering what is and isnt true.. IPCC presenters like the media and politicians take the extreme and push those as will happen, but you have to look at all the research published not just the "talking points" give you.
I saw that Monchton's model did follow the actual data better than the IPCC model did for the past 20 years, that is why I am here, to see both sides.
Yes, I am a skeptic, I am not sure if man created all of it, I am sure we dont help, if you look at the big picture we know previous weather by studying geology and plants, we have only accurately measured the earths weather for 100 or so years and got real good data the past 60 years, and not till satellites have we been able to truly observer weather in real time together.
So in the whole history of man and the planet that is nothing. Just by that we should look at the claims. As I have said time and time again, we shouldn't pollute or destroy our aquarium, but ALOT of people are making a living off man made climate change, and even the best intentions get distorted when it comes to money.
There's physics points out that if it is true the consequences will be dire, which is true, no doubt, but that is no reason to accept it all as the whole truth.
You could get cancer from being around power lines, does that mean we should get rid of power lines? (I am being facetious) but you get the point. Skeptics are always needed, always, it creates a reason to find more proof.
I am sorry if you dont remember or fail to believe that was said, but it was, not to give anything less to science, it just shows that we possibly dont have it all figured out, which we dont. Man is not all knowing, which is why they do studies to try and figure it out.
:)
Sorry...lazy. Just copied and pasted the link and it failed. It's mudane since that's what NASA did in fact say, as I'm SURE you know.
ReplyDeleteBut you ARE hilarious. All that business about me not wanting to answer your direct question...when in fact I answered you promptly and directly. Now you avoid my question and move the goalposts w/o answering MY question.
"In fact, why am I even arguing about this." Good question...since you probably KNOW what the agencies REALLY said about 2014. But since you asked...you are arguing because it's what you do to attack the evil deniers...baffle 'em w/ BS. It just didn't work this time...so now you try to change direction.
But at least now you're getting to your real issue...since you have lost on the "pedantic" point. Remember, it was YOU who challenged me.
And now you add this: "Yes, 2014 was probably the hottest year on record...". NO...it probably WAS NOT the warmest year on record. Though the probability of 2014 being warmer that any other single year when taken alone is demonstrated it is NOT, within the scope of the demonstrated probabilities, likely to be the hottest year on record. Both NASA and NOAA made that quite clear.
33.3% - 50%"more unlikely than likely"
http://www.ncdc.noaa.gov/sotc/global/2014/13/supplemental/page-1
You are just the worst sort of offender...and you accuse ME. I agree, you're boring now.
You are just the worst sort of offender...and you accuse ME. I agree, you're boring now.
ReplyDeleteAnd you're clearly an arse, but that's rather beside the point. You were claiming that it was more likely that 2014 was not the hottest year on record than being the hottest year on record, and that is not correct. As far as single years go, it is more likely to have been the hottest year on record than any other single year. Why don't you actually look at the temperature distribution and think about whether or not it really is likely that 2014 was not the hottest year on record. Try reading Victor Venema's comment carefully; he really does know what he's talking about.
http://www.realclimate.org/index.php/archives/2015/01/thoughts-on-2014-and-ongoing-temperature-trends/
"The IPCC models ..."
ReplyDeleteI'm pretty sure what you are referring to are papers discussing particular models and runs. Those are then discussed in the narrative. The IPCC reports.
The graphs and other visuals are also pretty clear there is is a range of projections; claiming "the" seems a bit over encompassing.
Overall, a very similar tactic to what has been used in trying to discredit Hansen's 1988 projections.
If one's fodder for informing oneself is a steady diet of comment threads and blog postings such as wuwt, daily caller, climatedepot, etc., then that lumping would be understandable. But then, it would be pretty difficult claiming to be a 'skeptic' or even being skeptical if such were the case.
Of course the issue is whether 2014 was warmer than any other single year. The question is...is it the warmest year on record, as the government agency press releases have claimed.
ReplyDeleteAnd of course the agencies provide not only "tables showing the probability" for the top years but they also provide a table demonstrating the confidence conventions they employ. The probabilities you cite fit here.
33.3% - 50%"more unlikely than likely"
http://www.ncdc.noaa.gov/sotc/global/2014/13/supplemental/page-1
So all you claim is correct. However, it is more UNLIKELY than likely that 2014 was the warmest year. This is CLEARLY demonstrate by the table you cite. Simple as that....all your efforts at rationalization notwithstanding.
No.
ReplyDeleteAnd?
Sir, you have incorrectly interpreted the probabilistic statements issued.
ReplyDeleteIt is true that P(A) = 1 - P(~A) but that relationship does not apply in this case.
...
The NASA claim is not for all years it is only for the set of years mentioned.
...
However, the fact remains that 2014 is the highest ranking year out of the set
However, it is more UNLIKELY than likely that 2014 was the warmest year. This is CLEARLY demonstrate by the table you cite.
ReplyDeleteNo, I don't think that is correct. What you're essentially suggesting is that you can add the probabilities of the other years together and that this would show that it is more likely that one of the other years was the warmest in record than 2104. However, it's clear that none of the other years is more likely than 2014 to have been the hottest on record. So, this is logically inconsistent. You have to treat each year independently. 2014 is the most likely, then 2010, then 2005,.... So, it is likely that 2014 was the hottest year on record.
So you argued all this about what the agencies said and you haven't even read the PRESS RELEASE???? Are you a joke...or what?
ReplyDeleteRemember, I responded to CB's post and you jumped my response with what is now clearly a nonsense question from ignorance:
There's Physics S Graves 2 days ago
Can you tell me which year NASA said was more likely than 2014 to have been the hottest year on record?
And NOW you say "If you really think what NASA actually said has any bearing on physical reality" w/o even reading AT LEAST the press release.
Are you freaking kidding?? You ARE...you must be. Or are you just a joke.
None of your links are contemporary with your elementary education years nor mention a coming ice age.
ReplyDeleteAnd NOW you say "If you really think what NASA actually said has any
ReplyDeletebearing on physical reality" w/o even reading AT LEAST the press
release.
Are you freaking kidding?? You ARE...you must be. Or are you just a joke.
Well, this is a bit of a laugh. I didn't need to read the press release to have seen the tables that clearly show that no other single year was more likely than 2014 to have been the hottest year on record.
Given some of your responses to me recently, you should probably regard the above as somewhat hypocritical.
ReplyDelete" Info Wars for real or a parody?"
ReplyDeleteSignificance is, perhaps, geopolitical. Chinese hackers stored the Climategate e-mails
on a Russian server. This time, China is going to oppose the Gore, Mann, Hansen,
and Pope climate scare directly and publish those who were sidelined?
Revealing Chinese opinion, of Obama;s leadership (Andrea Michell, near the middle)
"Rachel Maddow-Difficult diplomacy for Obama in Copenhagen"
https://www.youtube.com/watch?v=ZKPB6IJ6tpA
The 1997 article is the closest in time, no I cannot find online any teaching material on it, I guess I will have to find my grade school teacher, dg her up, re-animate her and have her tell you. lol
ReplyDeleteIf you read the article/s it does explain how the cooling of the surface would happen and I guess you dont want to infer what would happen if it happened to more than just a hole in the ozone.
If you want to deny it was every said, even when the articles clearly say surface cooling, that is fine. Just seems like you dont want to admit it might have been said.
NO...I am using the agencies' confidence conventions...clearly stated...to interpret their statistics. Let me try to clarify that for the simple minded...like you. I am relying upon the creators of the models to tell me what they think they mean.
ReplyDeleteJust go to the cited page and even YOU will be able to page down and find what you need to determine what the agencies actually claim. If you believe that your bogus claim, "So, it is likely that 2014 was the hottest year on record." is correct, show me in the NASA/NOAA material that they do not find that 2014 is "more unlikely than likely" the warmest year on the record.
But after all, you haven't read the information...so you're still just guessing...and you think NASA and NOAA don't know what they're talking about anyway. But you somehow DO.
Sigh....
NO...I am using the agencies' confidence conventions...clearly stated...to interpret their statistics.
ReplyDeleteNo, I think you're mis-interpreting their numbers. I don't think you can say that because 2014 only has a 38% chance of being the warmest on record, that that means it is more likely that another year was the warmest on record, when all other years have substantially less than a 38% chance of being warmest on record.
But after all, you haven't read the information...so you're still just
guessing...and you think NASA and NOAA don't know what they're talking
about anyway. But you somehow DO.
No, I have looked at the numbers. I just said I hadn't specifically read what they said in the press release.
Actually they DID, Victor Venema.
ReplyDeleteI would go back and do your homework before going further.
Yes...it IS the highest ranking year out of the set.
ReplyDeleteUsing the agencies' probabilities and conventions, what is the likelihood that 2014 is the warmest year on the record? What do THEY claim?
Thank you......It's the highest ranking year out of the set.
ReplyDelete...
Did you know the "set" contained the highest years in their record?
Then you saw the table that demonstrates the 2014 is "more unlikely than likely" to be the warmest year on the record. Go look again.
ReplyDeletehttp://www.ncdc.noaa.gov/sotc/global/2014/13/supplemental/page-1
You say; "...no other single year was more likely than 2014 to have been the hottest year on record."
If you know I have stated that this statement is correct, why are you bringing it up again if not to just attempt to misdirect? You should know by now that sort of elementary nonsense won't work.